빠른상담

인애한의원 카톡상담

각 지점 카톡문의 버튼을 클릭하시면 카카오앱으로 바로 연결됩니다.

서울지역
경기ㆍ인천지역
대구·부산·울산

인애한의원 진료예약

각 지점 예약하기 버튼을 클릭하시면 예약 페이지로 바로 연결됩니다.

서울지역
경기ㆍ인천지역
대구·부산·울산

성조숙증은 타이밍이 중요합니다
우리 아이 성장기가 빨리 끝나지 않도록

인애한의원
성조숙증 클리닉

  • 과학적으로 입증된
    성조숙증 한의학 치료 효과
    성호르몬 분비가 억제되면서
    성조숙증 치료효과가 인정된
    다수의 논문
  • 현명한 부모가
    선택한 치료
    생활습관, 식습관, 인바디,
    사춘기 발달 상태 등
    성조숙증 원인을 찾아 치료
  • 성조숙증과 키 성장,
    동시 치료
    성장부진, 성조숙증,
    체형불균형,
    소아비만 성장문제를
    동시에 치료
  • 1:1 맞춤
    성조숙증・성장 솔루션
    한의학 진단과 과학적
    정밀 검사를 바탕으로 연령별,
    타입별 원인에 따른
    맞춤치료 시행
  • 지속 가능한
    성장 Follow-up
    3개월마다 검사를 통해
    지속적 성장유도 및 성장에
    부족한 치료, 경과 관리
  • 생활습관 & 홈케어
    완벽 가이드
    운동, 수면, 자세, 영양 등
    성장에 최적화된 생활습관
    개선 및 홈케어 가이드

성조숙증
또래보다 키가 크니까 괜찮을까요?

[  성장  ] 은 거기서
멈출 수도 있습니다!

여아가 만 8세 이전에 유방이 발달하거나,
남아가 만 9세 이전에 고환의 크기가 커지는 등

사춘기가 시작되는 징조가 보인다면
치료를 서둘러야 합니다.

성조숙증, 더 이상
남의 이야기가 아닙니다!

성조숙증은 여아에게서 압도적으로 많이 발생하지만,
남아 환자 또한 증가하는 추세입니다.

4년간 무려 172% 증가 [ 출처 : 건강보험심사평가원 ]

성장을 방해하는 성조숙증

이차 성징이 여아 만 8세 미만,
남아 만 9세 미만에 나타나는 경우

또래 아이들보다 일찍 가슴멍울, 초경, 음모, 변성기 등
사춘기 시기에 나타나는 신체 변화가 시작
되는 것을
말합니다.

성장속도가 빠른 아이들의 대부분 뼈 나이가 자기
나이보다 앞서가고, 앞서간 기간 만큼 성장판도 빨리
닫혀 남들보다 성장할 수 있는 기간이 짧아지게 됩니다.

성조숙증은 치료 시기를 놓치면, 최종 키 손실 등
성장부진 문제가 발생할 수 있어 적절한 치료가 필요합니다.

성장환경 조성 성조숙증 치료

키 성장 골든타임 성장 저해 요인 제거

성조숙증을
그대로 방치하게 되면?

조기 분비된 성호르몬은 성장을 촉진시키게 되므로
키크는 속도가 일시적으로 빨라져 또래 아이들보다
큰 키가 됩니다.

하지만 성장판이 일찍 닫혀 성장기간이 줄어들기
때문에 최종 키는 정상적인 사춘기를 가진 아이보다
오히려 작아지게 됩니다.

특히 여자아이들의 경우 성호르몬의 과다한 분비로 인해
초경을 초1~초4에 할 수 있으며, 그 영향으로 성장판이
일찍 닫히면서 최종 키가 작게는 5cm, 크게는
10cm까지
덜 자라게 될 확률이 높아집니다.

그렇기 때문에 성호르몬을 억제하여 사춘기 증상,
급격한 성장 속도 진행을 늦추며 초경 지연, 조기에
성장판이 닫히는 것을 방지하는 치료가 필요합니다.

  • 성장판 조기폐쇄

  • 조기 초경

  • 암 발병 위험성 증가

  • 심리적인 스트레스

요즘따라 수상한... 아이의 변화
성조숙증을 알리는 신호

여아
만 8세 이전, 가슴 발달,
음모 발달, 만 10세 이전에 초경
남아
만 9세 이전, 고환 크기 증가,
음모 발달, 변성기
공통
머리 냄새, 땀 냄새가 진해짐
여드름, 음모 발생
성격이 예민해짐
최근 1년 사이 7cm이상 키 성장

사춘기가 진행되었다면?
망설이시면 안됩니다!

[ 성조숙증 여아의 키 성장곡선 예 ]

출처 : 보건복지부, 대한의학회
  1. 만 8세경 키 성장 속도가 증가하기 시작
  2. 만 12세 이후 성장이 거의 멈추게 됨
  3. 만 18세경 키가 150cm 정도, 평균 160cm에 비해 작음

과학적으로 입증된
성조숙증 치료 효과 논문

성호르몬 분비가 억제되면서
성조숙증 치료효과 인정

네트워크 약리학을 이용한 실험 연구

혈청 ALP, E2, LH, FSH 호르몬 수치 감소하였으며,
GnRH, Netrin-1, UNC5C의 mRNA 발현도 감소

* 출처 Effects of estrogen inhibition formula herbal mixture
for danazol-induced precocious puberty in female rats:
an experimental study with network pharmacology.
Integr Med Res. 2021 Sep;10(3):100708.
doi:10.1016/j.imr.2020.100708. Epub 2020 Dec 16.
PMID: 33665096; PMCID: PMC7903350.

성조숙증 예방, 지연효과 입증

진정한 성조숙증과 관련된 연구

성조숙증 한약 복용한 경우
혈중 FSH, LH, E2와 같은 성호르몬의 농도 감소,
자궁 및 난소의 크기 감소

* 출처 Evaluation of the true precocious puberty rats
induced by neonatal administration of Danazol:
Therapeutic effects of nourishing "Yin"- removing "Fire"
Chinese herb mixture. Reprod Biol Endocrinol 3, 38 (2005).
https://doi.org/10.1186/1477-7827-3-38

혈청 LH 수치, 가슴 Tanner stage
유의하게 개선

말초성 성조숙증 침 치료와 관련된 연구

* 출처 Acupuncture Improving Early Sexual Development
of Girls with Peripheral Precocious Puberty: A Prospective
Cohort Study. Evid Based Complement Alternat Med. 2020
Apr 10;2020:8091846. doi: 10.1155/2020/8091846.
PMID: 32351604; PMCID: PMC7171614.

성조숙증 환자의 LH, 에스트로겐,
골연령을 효과적으로 감소시킴

복합약물들에 대한 체계적 문헌고찰 및 메타분석

* 출처 Herbal Medicine for Idiopathic Central Precocious
Puberty: A Systematic Review and Meta-Analysis. J Altern
Complement Med. 2020 Nov;26(11):976-999. doi: 10.1089/
acm.2019.0312. Epub 2020 Jul 10. PMID: 32654496.

성장단백질 IGFBP-3 증가

만 7세 – 12세 어린이가 12 주간 섭취하였을 때,
성장호르몬 분비지표 (IGFBP-3) 증가

< 성장단백질 IGFBP-3 증가 >

* 출처 이중맹검 인체적용시험 보고서, 2009

성장판을 자극하는 성장인자의
생성 증가

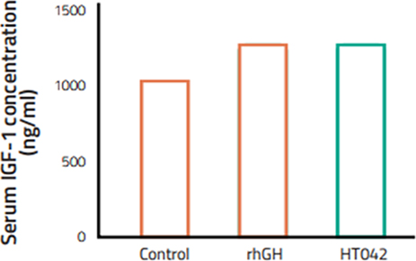
간, 혈중, 성장판에서 성장인자 IGF-1을 증가시키고,
성장판에서 뼈 형성 단백질 BMP-2을 증가

< 간에서 성장인자 IGF-1 발현 증가 >

< 혈중에서 성장인자 IGF-1 농도 증가 >

< 성장판에서 성장인자
IGF-1과 뼈 형성단백질 BMP-2 발현 증가 >

* 출처 Journal of Medicinal Food, 2010, Phytotherapy
Research, 2012. eCAM, 2017

뼈 길이 성장속도 촉진

테트라사이클린 칼슘형광표지법을 통해
성장속도를 측정한 결과, 성장호르몬과 비슷한
정도로 성장속도를 유의하게 증가

경골성장판 연골세포 수와 증식부의 두께를
증가시켰으며, IGF-1, BMP-2 발현을 증가

< 성장단백질 IGFBP-3 증가 >

< 뼈길이 성장속도 증가 >

  • < 성장판 증식부 두께
    11.2% 증가 >

  • < 성장판 비대부 두께
    12.4% 증가 >

* 출처 The herbal formula HT042 induces longitudinal bone
growth in adolescent female rats. J Med Food. 2010 Dec;13
(6):1376-84. doi: 10.1089/jmf.2010.1007. PMID: 21091251.

초경을 시작했어도
키 성장 치료가 가능합니다!

  1. 11세
    이전
    빠른 초경 & 키 성장 방해
    빠른 초경을 막기 위해 초경 지연 +
    골연령이 빨라지지 않도록
    조절하는 치료기 필요합니다.
  2. 11~12세
    정상적인 사춘기 시기
    검사를 통해 최종키를 예상해보고
    키 성장에 문제가 생기지 않도록
    빠르게 치료 해야 합니다.
  3. 12.6세
    이상
    마지막 성장 시기
    너무 늦는 초경도 성장 문제가
    있을 수 있어 검사가 필요합니다.

초경 시작 후 1~2년뒤부터 성장 속도가
급격히 떨어지기 때문에 이 기간에 아이가
최대한 성장할 수 있도록 도와줘야 합니다.
생활습관, 운동, 전신상태 등 성장의 핵심
요소를 점검하고 필요한
경우 성장치료를
병행해야 합니다.

성장치료가 필요하다면
성장판이 닫히기 전 서두르세요!

  • 성장호르몬이 정상 범위보다 적은 아이

    성장호르몬이 정상적으로 분비되지 않아 혈액검사시
    일반적인 성장기 아이들에 비해 성장호르몬의
    분비량이 적습니다.

  • 1년에 4cm 이하로 자라는 아이

    사춘기 이전의 나이인데도 표준키보다 10cm이상 작으며,
    평균 5cm가 아닌 4cm 미만으로 성장하는 모습을 보입니다.

  • 아이들 100명 중 3번째 이하인 아이

    같은 연령과 성별을 가진 100명을 무작위로 세웠을 때
    3번째 이하까지는 왜소증일 가능성이 높습니다.

  • 뼈나이가 2살 정도 적은 경우

    뼈 나이가 2년 느리다고 안심해선 안됩니다. 1년 후
    재검사시 오히려 뼈 성장이 1년 이상 빨라졌다는
    케이스가 많습니다.

성장치료의 골든타임

키는 일반적으로 성장곡선을 따라 출생 후~2세 이전,
그리고 사춘기에 가장 빨리 자랍니다. 급성장기를
지나면 더 이상 자리지 않기 때문에 적정한 시기에
성장판의 상태를 확인하여 치료해야합니다.

성장부진의 원인이 하나가 아니라 여러 개가 동시에
있다면, 성장치료 역시 복합적으로 진행되어야 합니다.

나이별 성장속도 그래프

연령 정상 연간 성장 속도 (Cm/Year)
출생기 ~ 1세 연간 18 ~ 25cm
1세 ~ 2세 연간 12 ~ 13cm
2세 ~ 사춘기 이전 연간 5 ~ 6cm
사춘기
급성장
남자 연간 7 ~ 12cm
여자 연간 6 ~ 11cm

성장 단계별 성장 속도의 변화

인애한의원, 성조숙증 클리닉

성조숙증의 진행을 더디게 하고
키 성장을 극대화합니다.

성조숙증으로 의심될 수 있는 증상들은 연령에 따라
다르게 나타납니다. 해당 연령의 증상과 진단에 따라
대처하면 성장 불균형으로 인해 성장이 멈춰버릴 수도
있다는 걱정으로부터 벗어날 수 있습니다.

  • 사춘기 지연
    (성조숙증 치료)

    사춘기 지연 및 초경기간을
    늦출 경우 1년에 7~8cm의
    추가적인 성장이 가능합니다.

    성장판
    활성도 유지

    성장판이 닫히는 시기를
    최대한 지연시키고 성장
    호르몬 분비를 늘려 최대
    키 성장을 이끌어 냅니다.

  • 성장 촉진

    성장에 관한 여러가지
    요소들을 빠짐없이 채워
    성장에 가속도를 더합니다.

    자세 교정

    여아의 경우 성조숙증으로
    또래보다 가슴이 커져
    부끄럽다고 가슴을 웅크릴
    경우 굽은 등이 되어 성장에
    방해가 됩니다.
    등을 펴야 키가 더 큽니다.

  • 면역력 증대

    급성장기에 성장 에너지가 집중되는데 학업까지 하다보면
    면역이 떨어지고 피로를 느끼게 됩니다.
    성장한약을 통해 면역까지 챙깁니다.

성장치료

  • 성장약침 치료

    뼈, 근육 강화 및 체력강화

  • 성장 침치료

    성장판 주변 자극,
    혈액순환 조절

  • 성장 추나요법

    골, 관절, 근육의 바른 성장

  • 성장 물리치료

    성장판 자극 한방 물리요법

  • 생활습관 홈케어

    올바른 자세, 식습관, 운동법

  • 성장자극점 도수치료

    관절, 척추, 근육의
    밸런스 치료

올바른 성장가이드

  • 긍정적 마인드

    스트레스는 성장호르몬
    분비 감소를 초래

  • 빠른 취침, 기상 실천

    성장호르몬은 밤 10시부터
    새벽 2시까지 최대 분비

  • 균형 있는 식사

    5대 영양소를 골고루
    섭취하는 것이 가장 좋음

  • 바른 자세 유지

    나쁜 자세는 척추나
    골격이 삐뚤어지게 함

  • 규칙적 운동

    성장호르몬 분비 및
    혈액순환 촉진에 도움

  • 체중 관리

    과다한 체지방은 성호르몬
    분비 시기 앞당김

  • TV시청/게임 제한

    전자파, 선정적, 폭력적
    장면들의 접촉 줄이기

성조숙증 클리닉의 효과는
어떻게 확인할까요?

2차 성징의 지연효과는 성호르몬을
기준으로 판정합니다.

3개월마다 호르몬 검사 시행

  • 호르몬 변화 확인

  • 키 성장 정도 확인

  • 소화, 수면, 알레르기 등
    건강 호전도 평가

3개월마다 검사 결과에 따른
맞춤 관리 진행

  • 3개월에 1~2cm 성장

    3개월에 1~2cm 정도로 잘 크고 있다면
    한약을 계속 복용합니다.

  • 3개월에 1CM 미만 성장

    처방을 변경하거나 정밀 진단을 통해
    원인을 찾습니다.
    (수면, 식이, 스트레스, 알레르기 등)

  • 성호르몬의 양이 증가

    해당 한약의 용량을 올립니다.

  • 체중 증가

    체중이 지나치게 증가하지 않도록 관리

성조숙증 한의학적 치료 사례

치료 논문 CASE 01

・ 2009년 5월 30일 ~ 2018년 2월 10일
22명 (여아, 평균 8.21세)
결과 : 사춘기가 시작된 이후의 여아들이 36개월
치료 후에도 초경을 하지 않음

[  치료 기간에 따른 성 호르몬 수치 평균  ]

E2 (pg/ml) LH (mIU/ml) FSH (mIU/ml)
첫 방문 14.96 0.17 2.35
6개월 10.97 0.29 2.39
12개월 14.79 0.96 2.66
18개월 20.22 1.69 3.67
24개월 28.25 2.66 4.02
30개월 36.58 3.15 4.29
36개월 43.71 4.89 4.81
* 출처 Herbal medicine for precocious puberty girls:
a retrospective study. Intergrative Medicine Research(2020)

치료 논문 CASE 02

・ 최○○ (여아 / 8세 9개월)
부(175cm), 모(159cm, 초경 시기- 중학교 2년)
・ 가슴발달, Tanner stage Ⅲ 진단
(사춘기가 6개월 이상 진행됨 )
・ GnRH 자극 검사 결과, LH 6.23 mIU/㎖,
FSH 11.36 mIU/㎖ ▶ 성조숙증 진단
・ 결과 : 1년 이상 사춘기 지연효과 (사춘기 발달이
억제되고 호르몬 변화도 완만하게 유지됨)

[  호르몬 수치 경과 확인하기 +  ]

날짜 E2 (pg/ml) LH (mIU/ml) FSH (mIU/ml) 키 cm 몸무게 kg
2015.4.11 <5 <0.1 0.96 131.5 33.5
2015.7.29 <10 0.1 0.89 133.6 34.1
2015.12.19 <10 0.03 0.7 135.9 36.4
2016.4.30 <10 0.04 0.85 137.3 38.4
2016.8.4 <10 0.1 1.55 139.0 40.6
* 출처 A Case Report of Idiopathic Precocious Puberty in
Two Children(2017)

치료 논문 CASE 03

・ 이○○ (여아 / 8세 6개월) / 부(167cm), 모(154cm)
・ GnRH 자극검사결과, E2 15.59 pg/㎖,
LH 0.29mIU/㎖, FSH 1.08 mIU/㎖ ▶ 성조숙증 진단
결과 : 1년 10개월 이상 사춘기 발달을 늦춤
(성장이 꾸준히 이루어져 최종 키 손실 극복하고
유전적 예상키보다 더 큼)

[  호르몬 수치 경과 확인하기 +  ]

날짜 E2 (pg/ml) LH (mIU/ml) FSH (mIU/ml) 키 cm 몸무게 kg
2012.3.10 15.58 0.29 1.08 128.1 28.7
2012.11.10 7.31 <0.1 2.13 132.3 29.8
2013.4.6 <5 1.61 1.89 135.0 32.3
2013.7.13 13.3 1.44 3.66 138.1 32.7
2013.10.5 7.67 1.05 1.55 140.9 36.6
2014.2.8 16.39 2.65 4.26 144.1 38.0
2014.6.14 28.22 3.55 5.48 146.1 41.3
2016.1월 초경시작
2016.2.24 155.5 53.3
* 출처 A Case Report of Idiopathic Precocious Puberty in
Two Children(2017)

치료 논문 CASE 04

・ 하○○ (여아 / 9세) / 부(174cm), 모(165cm)
・ GnRH 자극검사결과, LH 4.3mlU/ml
▶ 성조숙증 진단
・ 2020년초 가슴발달 시작, 뼈 나이 11세
(예상 키153cm~155cm)
결과 : 가슴멍울 생긴 후 3년 6개월 후 초경
(1년 6개월 미뤄짐) 최종 예상 키 157cm~160cm

[  호르몬 수치 경과 확인하기 +  ]

나이 검사일 키 cm 몸무게 kg IGF-1 (ng/ml) E2 (pg/ml) LH (mIU/ml) FSH (mIU/ml)
만9세 2020.5 135.5 34.8 <5 <0.1 1.15
9세 3개월 2020.8 136.9 35.0 336 <15 <0.2 2.0
9세 6개월 2020.11 138.0 36.9 295 <15 <0.2 2.3
9세 10개월 2021.3 139.8 37.9 287 <15 <0.2 1.7
10세 2개월 2021.7 141.7 37.4 404 <15 <0.2 3.2
10세 7개월 2021.12 144.0 40.1 315 <15 <0.2 2.8
10세 10개월 2022.3 146.8 43.2 497 <15 1.4 2.8
11세 1개월 2022.6 148.4 43.6 555 <15 1.2 4.8
11세 5개월 2022.10 151.0 48.1 577 27.9 3.2 6.2
11세 9개월 2023.2 152.7 50.3 603 34.2 8.0 5.4
만12세 2023.5 (생리시작) 154.5 52.8 540 38.3 9.9 5.6

치료 논문 CASE 05

・ 김○○ (여아 / 8세 7개월) / 부(169cm), 모(152cm)
・ GnRH 자극검사 LH 3.8mlU/ml ▶ 성조숙증 진단
・ 내원 전 2년 동안 8.4cm 성장, 예상 키147cm~150cm
결과 : 초경이 1년 6개월 지연,
최종 예상 키 159cm~162cm

[  호르몬 수치 경과 확인하기 +  ]

나이 검사일 키 cm 몸무게 kg IGF-1 (ng/ml) E2 (pg/ml) LH (mIU/ml) FSH (mIU/ml)
8세 7개월 2019.7 127.5 23.5 178 <10 0.07 1.0
8세 10개월 2019.10 129.5 25.2 204 <15 <0.02 1.7
9세 1개월 2020.1 131.8 26.6 174 <15 <0.02 2.8
9세 4개월 2020.4 133.5 27.2 203 <15 <0.02 2.8
9세 8개월 2020.8 135.0 28.0 242 <15 <0.02 2.2
9세 11개월 2020.11 137.6 30.3 231 37.8 1.2 5.7
10세 2개월 2021.2 139.7 29.4 310 <15 0.5 3.0
10세 4개월 2021.4 142.1 31.1 220 477.7 2.7 9.7
10세 8개월 2021.8 144.8 32.3 515 22.6 1.4 4.6
10세 10개월 2021.10 146.8 32.8 288 60.9 2.0 6.6
11세 1개월 2022.1 148.6 34.6 369 80.9 2.8 6.3
11세 8개월 2022.8 152.7 36.8 420 40.8 5.6 5.9
12세 1월 2023.1 156.0 초경

치료 논문 CASE 06

・ 장○○ (여아 / 9세 2개월) / 부(168cm), 모(156cm)
・ 내원 1년전부터 가슴멍울, 머리냄새
▶ 사춘기 초기단계 진단
・ 뼈 나이 2살 빠르다고 진단. 예상 키145cm~147cm
결과 : 초경이 1년 7개월 지연,
최종 예상 키 156cm~159cm

[  호르몬 수치 경과 확인하기 +  ]

나이 검사일 키 cm 몸무게 kg IGF-1 (ng/ml) E2 (pg/ml) LH (mIU/ml) FSH (mIU/ml)
9세 2개월 2020.9 127.8 28.1 285 <15 0.29 1.66
9세 5개월 2020.12 128.7 28.8 312 <15 <0.2 2.30
9세 10개월 2021.5 132.1 30.5 266 <15 0.35 2.51
10세 1개월 2021.8 134.3 30.3 384 <15 0.28 2.33
10세 5개월 2021.12 136.5 31.0 264 <15 0.23 1.36
10세 9개월 2022.4 138.2 31.9 284 <15 <0.2 2.99
11세 1개월 2022.8 140.8 33.8 443 28.0 0.65 5.49
11세 5개월 2022.12 143.5 38.1 492 19.7 0.89 4.65
11세 9개월 2023.4 145.8 41.5 393 17.5 1.92 4.29
12세 2개월 2023.9 148.1 44.5 390 18.3 1.90 4.60
12세 5개월 2023.12 149.7 42.8 402 36.4 3.87 4.86
12세 9개월 2024.4 153.0 초경

치료 논문 CASE 07

・ 박○○ (남아 / 10세 6개월) / 부(175cm), 모(157cm)
・ 18년 4월까지 성장호르몬 치료, 성장호르몬 치료 중
LH FSH 증가, 뼈 나이 증가
・ 사춘기 시작으로 예상 키 168cm~170cm
결과 : 초진시 예상 키 168cm~170cm
▶ 최종 키 178cm

[  호르몬 수치 경과 확인하기 +  ]

나이 검사일 키 cm 몸무게 kg IGF-1 (ng/ml) LH (mIU/ml) FSH (mIU/ml) Testosterone
(ng/ml)
10세 6개월2018.4200.710.182.71<0.03
11세2018.10145.646.0490.910.313.96<0.03
11세 3개월2019.1148.347.2424.530.463.68<0.03
11세 6개월2019.4150.348.4464.060.523.97<0.03
11세 7개월2019.7152.349.9566.540.883.64<0.03
12세 2개월2019.12156.552.2469.331.816.731.73
12세 7개월2020.5161.456.9505.092.676.792.26
12세 10개월2020.8164.059.0
13세 3개월2021.1167.064.4
13세 7개월2021.5170.065.0540.835.298.843.38
14세2021.10172.471.2
15세 5개월2023.3178.070.0

치료 논문 CASE 08

・ 이○○ (남아 / 11세 7개월) / 부(174cm), 모(159cm)
・ 2년전 성조숙증 진단 받고 성조숙증
호르몬치료 받는 중 내원
・ 예상 키 170cm 이하

결과 : 초진시 예상 키 170cm ▶ 최종 키 178cm~180cm

[  호르몬 수치 경과 확인하기 +  ]

나이 검사일 키 cm 몸무게 kg IGF-1 (ng/ml) LH (mIU/ml) FSH (mIU/ml) Testosterone
(ng/ml)
11세 7개월2022.4156.545.52940.180.70.3
11세 11개월2022.8158.947.95327.17.1

3.4

12세 2개월2022.11161.655.55004.36.93.8
12세 5개월2023.2164.456.74662.45.62.7
12세 8개월2023.5167.157.34132.12.82.1
12세 11개월2023.8169.461.04472.33.04.0
13세 6개월2024.3172.765.63822.82.13.4
* 성호르몬 억제 치료 중단 후 돌아온 실제 수치

아이의 이차 성징이
또래보다 빠른가요?

방치하면 작은 키로 평생 후회할 수 있습니다.
더 늦기 전에 정확한 진단과
체계적인 인애한의원 치료 프로그램에 대해
상담 받아보세요.

다시 생각해도 성조숙증 치료는
인애한의원입니다!

성조숙증 자가진단 체크리스트

1가지라도 해당될 경우에는
성조숙증 검사가 필요합니다!

여아 만 8세 이전
  • 가슴이 간지럽고 살짝 부딪혀도 아프다.
  • 가슴에 몽우리가 만져지기 시작한다.
  • 음모나 액모(겨드랑이 털)가 조금씩 나기 시작했다.
  • 냉대하 같은 분비물이 발생한다.
  • 머리냄새나 땀냄새가 늘었다.
  • 얼굴에 피지 분비가 늘고 좁쌀처럼 여드름이 난다.
  • 엉덩이가 부쩍 커진다.
  • 갑자기 키가 1년에 7cm 이상 빨리 큰다.
남아 만 9세 이전
  • 고환이 커지기 시작하고, 검은색으로 변한다.
  • 음모나 액모(겨드랑이 털)가 조금씩 나기 시작했다.
  • 몽정을 한다.
  • 목젖이 나오고 변성기가 시작됐다.
  • 머리냄새나 땀냄새가 늘었다.
  • 얼굴에 피지 분비가 늘고 좁쌀처럼 여드름이 난다.
  • 얼굴에 수염이 나기시작하고, 어깨가 넓어졌다.
  • 갑자기 키가 1년에 7cm 이상 빨리 큰다.

빠른 예약

[자세히보기]
예약신청
많은 분들이 믿고 선택한 인애한의원
누적치료 건수 1,031,762건
인애한의원 전지점 (2025년 10월 기준)

의료진의 땀과 노력, 작은 증명이 모여서 성장한 인애한의원은
여성질환의 고통과 힘듦을 잘 알고 있기에 여성의 어려움을 이해하고, 마음을 다해 회복을 돕고 있습니다.

궁금한 것이 있다면 무엇이든 문의주세요.
인애한의원 의료진 모두 내 가족 같이 따뜻하고 친절하게 함께 하겠습니다.

인애한의원 누적 치료 건수 1,031,762건

전화상담신청

궁금한 점을 빠르고 명확하게
상담 해드립니다.

  • 지점선택

  • 질환선택

  • 이름

  • 연락처

    인증번호 발송
  • 문의내용


    [자세히보기]
전화상담하기